skip to content
Innovative Model Railroad Control System
User Tools
Log In
Site Tools
Search
Tools
Old revisions
Backlinks
Recent Changes
Media Manager
Log In
>
Recent Changes
Media Manager
Trace:
•
rocpro-de
•
roundtable-2022-37-speyer
•
cangc1-firmware-fr
•
ctc-svg-fr
•
mgv120-fr
•
mgv126-de
•
mgv101v2-fr
•
block-gen-nl
•
route-manual-fr
•
lio-sw
Sidebar
Download
Daily & Regular Builds
ZIP Installer
Wiki Offline
Rocrail Pro
SupportKey
Support
Rocrail Forum
FAQ
Documentation
ENGLISH
→
Beginner
DEUTSCH
→
Anfänger
NEDERLANDS
→
Beginner
ITALIANO
→
Principiante
FRANCAIS
→
Débutant
Mobile
RocControl
iOS
RocMini
watchOS
andRoc
Android
Rocweb
Browser
WIO-Control
ESP/PicoW
DIY
WIO
WiFi & CAN
RocNet
UDP
CANBUS
CAN
GCA
PCBs
User
Themes
Events
Pages
Clubs
Quips
Wiki writer
Guidelines
Tips
Orphans
Translations
Special
Compile&Build
Legal
Disclaimer
Website credits
loconet:lio-sw:lio-sw
Table of Contents
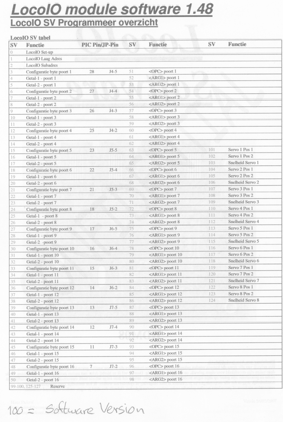
Page 1
Page 2
Page 3
Page 4
LocoIO Setup Protocol
Page 1
Page 2
Page 3
Page 4
loconet/lio-sw/lio-sw.txt
· Last modified: 2018/11/12 08:56 by
127.0.0.1
Page Tools
Old revisions
Backlinks
Back to top